넥제 서버컴포넌트 안에서도 변수 사용이 가능하다.
RSC (Default)
react-server-component
데이터 패칭 ! axos나 fetch api를 사용해서 하는 작업을 용도로.
server Actions
RCC (선택사항)
react-Client-component <= 'use client'
사용자와 상호작용하기 위한 컴포넌트
useState , useEffect등 훅 사용가능.
넥제가 이렇게 두개가 나뉘는 이유는
각각의 역할이 다르기 때문이다.
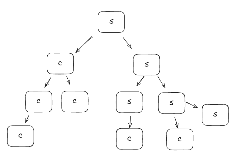
컴포넌트 트리를 구현할 때 신경써야 하는 부분
서버(상단) - 클라이언트(하단) 이렇게는 적용이 괜찮은데
클라(상단) - 서버(하단) 이렇게 트리구조가 되면 ,
서버는 client 컴포넌트가 되는 것이다.
클라컴포는 서버컴포넌트에서 실행된다.
요약 : 서버컴(상) - 클라(하) => 이러면 정상
클라 (상) - 서버컴(하) 이러면 걍 서버컴포넌트가 아님ㅇㅇ
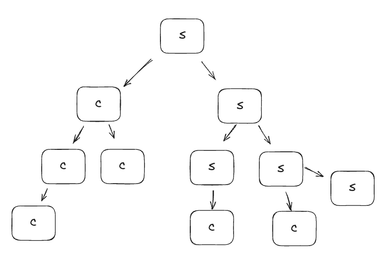
컴포넌트 트리 전략

클라이언트 컴포를 최대한 뿌리 쪽에 배치해라.
클라 밑에 서버컴포가 있으면 안된다!
'Front-End > Next.js' 카테고리의 다른 글
| 404 ,error , loading (0) | 2024.07.30 |
|---|---|
| layout.tsx (0) | 2024.07.30 |
| 넥스트 라우팅,라우터,라우트 (0) | 2024.07.29 |
| SSR 되어있는지 검사 어떻게 해요? + 최적화 검사 (0) | 2024.07.29 |
| Next.js를 왜 쓰는가? (0) | 2024.07.29 |